Summary
인터넷은 통신, 연결될 수 있는 모든 컴퓨터들의 가장 큰 네트워크이면서 그 상태를 유지시키는 방법이다. 이 기술적 인프라가 웹을 동작할 수 있게 만든다. 인터넷을 지원하는 다양한 기술들은 시간이 지남에 따라 진화해 왔지만 인터넷이 작동하는 방식은 거의 변하지 않았다.
Deeper dive
참고 : 이 글은 유선 케이블에 대해서만 이야기하지만 무선 네트워크도 동일한 방식이다.
1. 단순한 네트워크
두 개의 컴퓨터가 통신할 때, 컴퓨터는 서로 물리적으로 (예를 들어, 이더넷 케이블) 또는 무선으로 (예를 들어, WiFi나 Bluethooth) 연결되어야 한다. 모든 현대컴퓨터들은 이러한 연결 중 하나를 이용하여 연결을 지속할 수 있다.

이러한 네트워크는 두 대의 컴퓨터로 제한되지 않고 원하는 만큼의 컴퓨터를 연결할 수 있지만, 이렇게 연결할수록 매우 빠르게 복잡해진다. 예를 들어 10대의 컴퓨터를 연결하려는 경우 컴퓨터 당 9개의 플러그가 달린 45개의 케이블이 필요하게 된다.

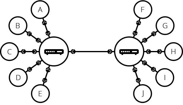
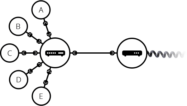
이 문제를 해결하기 위해 네트워크의 각 컴퓨터는 라우터라고하는 특수한 소형 컴퓨터에 연결된다. 이 라우터는 철도역의 신호원처럼 주어진 컴퓨터에서 보낸 메시지가 올바른 대상 컴퓨터에 도착하는지 확인하는 단 하나의 작업만 수행한다. 컴퓨터 B에게 메시지를 보내려면 컴퓨터 A가 메시지를 라우터로 보내야 하며, 라우터는 메시지를 컴퓨터 B로 전달하고 메시지가 컴퓨터 C로 배달되지 않도록 해야 한다.
이 라우터를 시스템에 추가하면 10대의 컴퓨터 네트워크에는 10개의 케이블만 필요하게 된다. 각 컴퓨터마다 단일 플러그와 10개의 플러그가 있는 하나의 라우터가 필요하다.

2. 네트워크 속의 네트워크
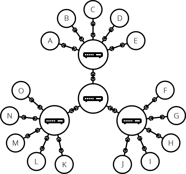
지금까지는 그런대로 잘되었지만 수백, 수천, 수십억 대의 컴퓨터를 연결하는 것은 어떨까? 물론 단일 라우터는 그 정도까지 확장할 수는 없지만 주의 깊게 다시 읽어보면 라우터는 다른 컴퓨터와 마찬가지로 컴퓨터이다. 그럼, 두 대의 라우터를 연결하지 못하게 하는 것이 있을까? 없다!

컴퓨터를 라우터에 연결하고, 라우터에서 라우터로, 우리는 무한히 확장할 수 있다.

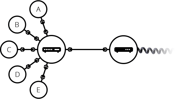
이러한 네트워크는 우리가 인터넷이라고 부르는 것에 매우 가깝지만, 우리는 무언가를 놓치고 있다. 우리는 우리의 목적을 가지고 네트워크를 구축했습니다. 하지만 그 밖에 다른 네트워크들이 있다 : 친구, 이웃, 누구든지 컴퓨터로 이루어진 그들만의 네트워크를 가질 수 있다. 하지만 집과 다른 지역 사이에, 아주 먼 곳에 케이블을 연결할 수는 없다. 이 문제를 어떻게 처리할 수 있을까? 예를 들어 전력 및 전화와 같이 이미 집에 연결된 케이블이 있다. 전화기 기반의 시설은 이미 세계 어느 곳과도 연결되어 있으므로 우리가 필요로 하는 완벽한 배선이라고 할 수 있다. 따라서 우리의 네트워크를 전화 시설과 연결하기 위해선, 모뎀이라는 특수 장비가 필요하다. 이 모뎀은 우리 네트워크의 정보를 전화 시설에서 처리할 수 있는 정보로 바꾸며, 그 반대의 경우도 마찬가지다.

그래서 우리의 네트워크는 전화 시설에 연결된다. 다음 단계는 우리의 네트워크에서 도달하려는 네트워크로 메시지를 보내는 것이다. 그렇게하기 위해 네트워크를 인터넷 서비스 제공 업체 (Internet Service Provider, ISP)에 연결한다. ISP는 모두 함께 연결되는 몇몇 특수한 라우터를 관리하고 다른 ISP의 라우터에도 액세스 할 수 있는 회사이다. 따라서 우리 네트워크의 메시지는 ISP 네트워크의 네트워크를 통해 대상 네트워크로 전달된다. 인터넷은 이러한 전체 네트워크 인프라로 구성된다.

3. 컴퓨터 찾기
만약 당신이 컴퓨터에 메시지를 보내려면 메시지를 받을 특정 컴퓨터를 지정해야한다. 따라서 네트워크에 연결된 모든 컴퓨터에는 IP 주소 (IP는 인터넷 프로토콜을 나타냄)라는 고유한 주소가 있다. 주소는 점으로 구분된 네 개의 숫자로 구성된 주소이다. 예: 192.168.2.10.
컴퓨터는 이러한 주소로 다른 컴퓨터를 찾아가는데 문제가 없지만 우리 사람들은 IP주소를 기억하기 어렵다. 그래서 우리는 '도메인 이름' 이라고하는 사람이 읽을 수 있는 IP 주소의 이름을 지정할 수 있다. 예를 들어 'google.com'은 IP 주소로 '173.194.121.32' 이다. 따라서 '도메인 이름'은 'IP주소'보다 인터넷을 사용하기에 쉽다.

4. 인터넷과 웹
웹 브라우저를 사용하여 웹을 탐색 할 때 일반적으로 도메인 이름을 사용하여 웹 사이트에 접속한다. 그것은 인터넷과 웹이 같은 것을 의미할까? 그렇게 간단하지 않다. 앞에서 보았 듯이 인터넷은 수십억 대의 컴퓨터를 모두 연결하는 기술 인프라이다. 이러한 컴퓨터들 중에 일부는 '웹 서버'로서 웹 브라우저가 이해할 수 있는 서비스를 제공한다. 인터넷은 인프라이며, 웹은 그 인프라 기반 위에 구축된 서비스이다. 웹뿐만 아니라 인터넷 위에 구축된 다른 서비스들(이메일, IRC(eu-US) 등)도 있음을 알아야 한다.
5. 인트라넷, 엑스트라넷
인트라넷은 특정 조직의 구성원으로 제한된 사설 네트워크이다. 일반적으로 구성원이 공유 리소스에 안전하게 액세스하고 협업하고 통신할 수 있는 포털을 제공하는 데 사용된다. 예를 들어 조직의 인트라넷은 부서 또는 팀 정보를 공유하기 위한 웹 페이지, 주요 문서 및 파일 관리를 위한 공유 드라이브, 비즈니스 관리 작업을 수행하기 위한 포털, 위키, 토론 게시판 및 메시징 시스템과 같은 공동 작업 도구를 호스팅 할 수 있다.
엑스트라넷은 인트라넷과 매우 유사하지만 다른 조직과의 공유 및 공동 작업을 허용하기 위해 개인 네트워크의 전체 또는 일부를 연다. 일반적으로 비즈니스와 긴밀하게 협력하는 고객 및 이해 관계자와 정보를 안전하고 안전하게 공유하는 데 사용된다. 정보 및 파일 공유, 협업 도구, 토론 게시판 등 인트라넷에서 제공하는 기능과 유사한 경우가 많다.
인트라넷과 엑스트라넷은 모두 인터넷과 동일한 종류의 인프라에서 실행되며 동일한 프로토콜을 사용합니다. 따라서 서로 다른 물리적 위치에서 인증된 구성원이 액세스할 수 있습니다.

Next Chapter : What is the difference between web page, web site, web server, and search engine?
출처
https://developer.mozilla.org/en-US/docs/Learn/Common_questions/How_does_the_Internet_work
'Computer Science > 인터넷' 카테고리의 다른 글
| [Chapter4] HTTP 정의 (0) | 2023.01.22 |
|---|---|
| [Chapter3] 하이퍼링크는 무엇인가? (0) | 2023.01.19 |
| [Chapter2] 웹 페이지, 웹 사이트, 웹 서버 그리고 검색 엔진의 차이 (0) | 2023.01.18 |
| GET과 POST의 차이 (+ HTTP) (0) | 2022.01.19 |
| Cookie와 Session의 차이 (0) | 2022.01.19 |